11 Ιαν 2022

ΕΟΔΥ: 46 κρούσματα στη Σάμο, 23 στην Ικαρία

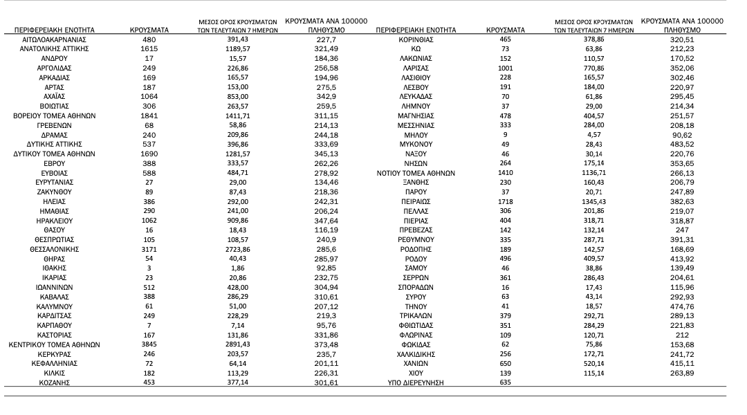
Τα νέα εργαστηριακά επιβεβαιωμένα κρούσματα της νόσου που καταγράφηκαν τις τελευταίες 24 ώρες είναι 32.694, εκ των οποίων 46 στη Σάμο και 23 στην Ικαρία.

Οι νέοι θάνατοι ασθενών με COVID-19 είναι 80, ενώ από την έναρξη της επιδημίας έχουν καταγραφεί συνολικά 21.559 θάνατοι. Το 95.1% είχε υποκείμενο νόσημα ή/και ηλικία 70 ετών και άνω 

Ο αριθμός των ασθενών που νοσηλεύονται διασωληνωμένοι είναι 640 (58.9% άνδρες). Η διάμεση ηλικία τους είναι 64 έτη. To 80.5% έχει υποκείμενο νόσημα ή/και ηλικία 70 ετών και άνω. Μεταξύ των ασθενών που νοσηλεύονται διασωληνωμένοι, 537 (83.91%) είναι ανεμβολίαστοι ή μερικώς εμβολιασμένοι και 103 (16.09%) είναι πλήρως εμβολιασμένοι. Από την αρχή της πανδημίας έχουν εξέλθει από τις ΜΕΘ 3.844 ασθενείς. Οι εισαγωγέςνέων ασθενών Covid-19 στα νοσοκομεία της επικράτειας είναι 497 (ημερήσια μεταβολή -7.28%). Ο μέσος όρος εισαγωγών του επταημέρου είναι 576 ασθενείς.Η διάμεση ηλικία των κρουσμάτων είναι 36 έτη (εύρος 0.2 έως 106 έτη), ενώ η διάμεση ηλικία των θανόντων είναι 78 έτη (εύρος 0.2 έως 106 έτη). 

 


Δεν υπάρχουν σχόλια:

ΓΡΑΨΟΥ ΚΑΙ ΕΣΥ ΣΤΑ ALERTS ΤΟΥ ΣΑΜΙΑΚΟΥ ΒΗΜΑΤΟΣ

Δώστε μας ένα Email σας για να μαθαίνετε πρώτοι τι συμβαίνει

* indicates required